無源器件主要包括電阻,電容等,以及制作的方法介紹詳解
信息來源:本站 日期:2017-09-25
在模擬集成電路中的無源器件主要是指電阻、電容、電感等,精密的電阻、電容是MOS模擬電路設計所要求的主要基本元件,電阻或電容在電路應用中最關鍵的是要提供精確的元件值,但在人多數情況下,電阻或電容的絕對值不如它們的比值那么重要。

電阻是模擬電路的最基本的元件,在集成電路中有多種設計和制造方法,并有無源電阻與有源電阻之分。無源電阻的大小一般以方塊數來表示,其絕對值為
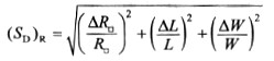
式(1.59)中R□為單位方塊電阻值,L和W分別是指電阻的長度與寬度,若假定這些參數是統計無關的,則電阻值的偏差可表示為
在大多數情況下,由于L都很大,所以式(1.60)可簡化為
通常對于式(1.61)中第一項偏差,離子注入電阻比擴散電阻要小,襯底硅電阻比多晶硅電阻要小(多晶硅材料晶粒結構變化增加所致):第二項偏差,隨著光刻技術特別是干法刻蝕,即等離子刻蝕技術的出現,該項偏差大大減小。
由于在制造過程中,電阻的絕對值存在必然的偏差,因此在模擬集成電路設計中盡可能轉換成電阻的相對暈,即電阻比值,并叮以采用對稱叉指式設計布局以補償薄層電阻與條寬范圍的梯度變化,提高電路的性能。
在電阻設計時還需注意相對于襯底的寄生電容可能把一些高頻噪聲通過電阻疊加在有用信號上,所以在設計時對一蝗有特殊要求的電阻必須加電屏蔽(如阱接地,采用多晶電阻或雙多晶結構)。
下面根據電阻制作的方法進行介紹。
在金屬柵與硅柵技術的NMOS和CMOS工藝中,可以制作此類電阻,它是與MOS管的源/漏區同時制成的,其剖面結構如圖1.21所示。
該類電阻的方塊電阻值為R□=20~100Ω(最大為lMΩ),在需要較大電阻時,需要很多方塊(如1MΩ時,需10000方塊),占用很大面積,所以一般不用擴散電阻制作大阻值的電阻。
此類電阻的誤差為土0%,溫度系數為5OO~l5OOx10-6℃,電壓系數為100~500xlO-6/V;
另外還存在大的寄生電容(N+P結電容),并且由于存在淺結,所以會產生壓電電阻效應,從而會產生進一步的誤差,不能用做精密電阻。
在CMOS金屬柵和硅柵工藝中可以制作此類電阻,其剖面結構如圖1.22所示。
該類結構的方塊電阻值較大,一般為R□=1000~5000Ω,,并且其薄層電阻值更高。但由于阱的擴散深度及其引起的橫向擴散約有5~10μm,使電阻條不可能做得很窄;且電阻條之間不需要設計出溝道截止環,以消除電阻間的表面反型層漏電流,因此在制作大電阻時,其而積也較大。
另外這類電阻具有大的電壓系數,且電阻誤差為土40%。
在NMOS和CMOS的金屬柵與硅柵工藝中可以制作此類電阻,由于離子注入可以精確控制摻雜濃度和注入深度,并且橫向擴散小,因此,其電阻阻值易于控制,但需要一次額外的掩模,其剖而結構如閣1.23所示,圖中CVD (Chemical Vapor Deposition) Si02表示的是化學氣目淀積二氧化硅。
其方塊電阻值為R□>500~1000Q(最大為1MΩ),注入電阻可以制作較人電阻而不用占很大面積,但離子注入層與襯底之間所形成的PN結存在不同的反偏時,耗盡層寬度不同,因此導電層內的載流子流量會發生變化,所以電阻的線性度不理想,電壓系數高,并且由于氧化層表面電荷的影響,導電層表面的載流子濃度也不穩定,因此大電阻的精度受一定的限制。這類電阻具有小的溫度系數,但很難消除壓電電阻效應。
另外,電阻注入可以與耗盡層的注入相結合。
這是在NMOS與CMOS硅柵工藝中使用最多的一類電阻,其剖面結構如圖1.24所示。

該類電阻的方塊電阻為R□=30~200Ω(與源/漏同時擴散)。制作大電阻時,可另外再加上一次光刻,用離子注入較小劑量來實現,其阻值可達10KΩ/口。但多晶硅電阻的薄層電阻大小,除與離子注入劑量有關外,還與多晶硅的厚度,多晶硅的淀積質量等有關,因此難以用來制作精密電阻。
此類電阻的溫度系數為500~1500x10-6/℃,電阻誤差較大,但可以通過激光與多晶絲來調節電阻值,且由于多晶硅下面有厚的氧化層與電路隔離,其寄生電容大大減小。
應用在NMOS和CMOS的金屬柵與硅柵工藝中,需要額外的工藝步驟,通過濺射方法把Ni-Cr、Cr-Si或Mo(鉬)按一定比例成分淀積在硅片的絕緣層上實現,電阻的方塊電阻值可由所用材料的性質比例成分和淀積層厚度決定,一般情況下,薄膜厚度為幾百至幾千埃(A),方塊電阻:Ni-Cr為幾百歐/方塊,Cr-Si為幾百至幾千歐/方塊,薄膜電阻的線性度最好,電壓系數很小,溫度系數也小(約1OOx1O-6/℃),與MOS的其他工藝條件無關;并且可以用激光修正、氧化、退火等提高電阻的精度。
聯系方式:鄒先生
聯系電話:0755-83888366-8022
手機:18123972950
QQ:2880195519
聯系地址:深圳市福田區車公廟天安數碼城天吉大廈CD座5C1
關注KIA半導體工程專輯請搜微信號:“KIA半導體”或點擊本文下方圖片掃一掃進入官方微信“關注”
長按二維碼識別關注